Доступный покупателю ассортимент датчиков стал еще шире с появлением в серии BJ новой линейки датчиков BGS с зеркальным отражением, увеличенным расстоянием срабатывания и разъемом. Новые датчики имеют функцию подавления фоновых помех, которая минимизирует вероятность ошибки и повышает стабильность и эффективность обнаружения объектов различных цветов и из различных материалов (ожидается выпуск модели с расстоянием срабатывания 100 мм). Кроме того, по сравнению с моделями с несъемным кабелем, обслуживание и подключение модели с разъемом значительно упростилось. Еще одним преимуществом серии является влагозащищенная конструкция со степенью защиты IP67. Фотоэлектрические датчики серии BJ отличаются увеличенным расстоянием срабатывания за счет использования высококачественной оптики, улучшенной помехозащищенностью и превосходными рабочими характеристиками благодаря минимизации влияния света инвертера. Кроме того, наличие функции подавления перекрестных помех обеспечивает возможность смежного монтажа, а компактные размеры — возможность использования датчиков в условиях ограниченного пространства. Широкая линейка датчиков, куда входят датчики с увеличенным расстоянием срабатывания, модели BGS с зеркальным отражением, датчики с узконаправленным лучом и датчики для обнаружения прозрачных объектов, дает дополнительные возможности применения в различных областях промышленности, удовлетворяя индивидуальным требованиям каждого заказчика.
Особенности
Общие:
· Компактные размеры: 20 мм (Ш) × 32 мм (В) × 10,6 мм (Д)
· Степень защиты IP65 (стандарт МЭК)
· Выбор режима срабатывания на свет/на затемнение (за исключением BJG30-DDT)
· Встроенный регулятор чувствительности (за исключением BJG30-DDT)
· Защита от переполюсовки и короткого замыкания выходной цепи
· Функция автоматического подавления взаимных помех
· Улучшенная помехозащищенность и минимизация влияния света инвертора
Модели с увеличенным расстоянием срабатывания
· Увеличенное расстояние срабатывания за счет использования высококачественной оптики:
· на пересечение луча (до 15 м)
· отражение от зеркала с поляризацией (до 3 м, MS-2A)
· диффузное отражение (до 1 м)
· Низкая вероятность ошибки измерения благодаря встроенной функции подавления зеркальных отражений (M.S.R.) (модели с зеркальным отражением с поляризацией)
· Компактные размеры: 20 мм (Ш) × 32 мм (В) × 10,6 мм (Д)
· Степень защиты IP65/IP67 (стандарт МЭК)
Модели BGS с зеркальным отражением
· Функция подавления фоновых помех (B.G.S.) устраняет влияние окружающих объектов на работу датчика.
· Превосходные характеристики чувствительности по сравнению с моделями диффузного типа.
· Регулятор настройки расстояния срабатывания.
· Возможность определения даже небольших объектов.
· Легко определить положение светового луча по хорошо заметной точке.
· Высокая стабильность обнаружения объектов различных цветов и из различных материалов.
Модели для обнаружения прозрачных объектов/с узконаправленным лучом
· Стабильное обнаружение прозрачных объектов (ЖК, плазменные панели, стекло и т.п.) (модель BJG30-DDT).
· Легко определить положение светового луча по хорошо заметной точке.
· Оптимизированы для обнаружения небольших объектов (мин. размер объекта: проволока из чистой меди диаметром 0,2 мм).
Различное расстояние обнаружения и размеры цели
|
Тип |
Датчики с большим расстоянием срабатывания |
Датчики определения прозрачных объектов |
Светоотражающий тип BGS | Датчики с тонким лучом | ||
|
Тип датчика |
Тип сквозного луча | Рефлекторный тип | Диффузный тип | Диффузный тип | Светоотражающий тип BGS |
Узколучевой диффузный тип |
| Расстояние обнаружения | 15 м, 10 м / 7 м | от 0,1 до 3 м | 1 м, 300 мм, 100 мм | 30 мм, (15 мм)*1 | 10–30 мм, 10–50 мм | 30–70 мм, 70–130 мм |
| Обнаружение цели |
непрозрачный материал > Ø12 / Ø8 мм |
непрозрачный материал >Ø75 мм |
непрозрачный, полупрозрачный материал |
прозрачное стекло, непрозрачный, полупрозрачный материал |
непрозрачный, полупрозрачный материал |
>0,2 мм непрозрачный, полупрозрачный материал |
*1. Расстояние срабатывания датчика для прозрачного стекла 50 x 50 мм, t = 3,0 мм.
Функция предотвращения взаимных помехФункция предотвращения взаимных помех позволяет устанавливать несколько сенсорных блоков в непосредственной близости друг от друга. (За исключением датчиков, работающих в режиме сквозного луча и отражающих датчиков BGS).
Функция MSR (подавление зеркальных отражений) (только для датчиков с обратным отражением).
- Датчики с обратным отражением оснащаются встроенными поляризационными фильтрами, с помощью которых приемник получает свет, излучаемый только рефлектором. Эта функция обеспечивает стабильность обнаружения объектов с высоким коэффициентом отражения, например, металлических объектов, зеркал и т.д.
- Принцип действия функции подавления зеркальных отражений (MSR).
Функция подавления взаимных помех (кроме датчиков, срабатывающих при пересечении луча).
Цикл излучения датчиков может быть изменен, что позволяет устанавливать несколько датчиков на близком расстоянии друг от друга, но без создания взаимных помех с расположенными вблизи другими датчиками.
Превосходная помехоустойчивость и минимальное воздействие со стороны внешних источников освещения.
Повышенная помехоустойчивость, благодаря использованию цифровых фильтров c алгоритмом шумоподавления. Специальный алгоритм минимизирует влияние внешнего освещения.
Индикаторы состояния
Пользователи легко могут проверить состояние датчиков с помощью индикатора срабатывания (желтый СИД) и индикаторов стабильности сигнала (зеленый СИД).
Регулятор чувствительности
Пользователи могут настроить чувствительность датчиков, с помощью регулятора чувствительности, для достижения оптимального режима работы, в зависимости от условий окружающей среды.
Доступный покупателю ассортимент датчиков стал еще шире с появлением в серии BJ новой линейки датчиков BGS с зеркальным отражением, увеличенным расстоянием срабатывания и разъемом. Новые датчики имеют функцию подавления фоновых помех, которая минимизирует вероятность ошибки и повышает стабильность и эффективность обнаружения объектов различных цветов и из различных материалов (ожидается выпуск модели с расстоянием срабатывания 100 мм). Кроме того, по сравнению с моделями с несъемным кабелем, обслуживание и подключение модели с разъемом значительно упростилось. Еще одним преимуществом серии является влагозащищенная конструкция со степенью защиты IP67. Фотоэлектрические датчики серии BJ отличаются увеличенным расстоянием срабатывания за счет использования высококачественной оптики, улучшенной помехозащищенностью и превосходными рабочими характеристиками благодаря минимизации влияния света инвертера. Кроме того, наличие функции подавления перекрестных помех обеспечивает возможность смежного монтажа, а компактные размеры — возможность использования датчиков в условиях ограниченного пространства. Широкая линейка датчиков, куда входят датчики с увеличенным расстоянием срабатывания, модели BGS с зеркальным отражением, датчики с узконаправленным лучом и датчики для обнаружения прозрачных объектов, дает дополнительные возможности применения в различных областях промышленности, удовлетворяя индивидуальным требованиям каждого заказчика.
Особенности
Общие:
· Компактные размеры: 20 мм (Ш) × 32 мм (В) × 10,6 мм (Д)
· Степень защиты IP65 (стандарт МЭК)
· Выбор режима срабатывания на свет/на затемнение (за исключением BJG30-DDT)
· Встроенный регулятор чувствительности (за исключением BJG30-DDT)
· Защита от переполюсовки и короткого замыкания выходной цепи
· Функция автоматического подавления взаимных помех
· Улучшенная помехозащищенность и минимизация влияния света инвертора
Модели с увеличенным расстоянием срабатывания
· Увеличенное расстояние срабатывания за счет использования высококачественной оптики:
· на пересечение луча (до 15 м)
· отражение от зеркала с поляризацией (до 3 м, MS-2A)
· диффузное отражение (до 1 м)
· Низкая вероятность ошибки измерения благодаря встроенной функции подавления зеркальных отражений (M.S.R.) (модели с зеркальным отражением с поляризацией)
· Компактные размеры: 20 мм (Ш) × 32 мм (В) × 10,6 мм (Д)
· Степень защиты IP65/IP67 (стандарт МЭК)
Модели BGS с зеркальным отражением
· Функция подавления фоновых помех (B.G.S.) устраняет влияние окружающих объектов на работу датчика.
· Превосходные характеристики чувствительности по сравнению с моделями диффузного типа.
· Регулятор настройки расстояния срабатывания.
· Возможность определения даже небольших объектов.
· Легко определить положение светового луча по хорошо заметной точке.
· Высокая стабильность обнаружения объектов различных цветов и из различных материалов.
Модели для обнаружения прозрачных объектов/с узконаправленным лучом
· Стабильное обнаружение прозрачных объектов (ЖК, плазменные панели, стекло и т.п.) (модель BJG30-DDT).
· Легко определить положение светового луча по хорошо заметной точке.
· Оптимизированы для обнаружения небольших объектов (мин. размер объекта: проволока из чистой меди диаметром 0,2 мм).
Различное расстояние обнаружения и размеры цели
|
Тип |
Датчики с большим расстоянием срабатывания |
Датчики определения прозрачных объектов |
Светоотражающий тип BGS | Датчики с тонким лучом | ||
|
Тип датчика |
Тип сквозного луча | Рефлекторный тип | Диффузный тип | Диффузный тип | Светоотражающий тип BGS |
Узколучевой диффузный тип |
| Расстояние обнаружения | 15 м, 10 м / 7 м | от 0,1 до 3 м | 1 м, 300 мм, 100 мм | 30 мм, (15 мм)*1 | 10–30 мм, 10–50 мм | 30–70 мм, 70–130 мм |
| Обнаружение цели |
непрозрачный материал > Ø12 / Ø8 мм |
непрозрачный материал >Ø75 мм |
непрозрачный, полупрозрачный материал |
прозрачное стекло, непрозрачный, полупрозрачный материал |
непрозрачный, полупрозрачный материал |
>0,2 мм непрозрачный, полупрозрачный материал |
*1. Расстояние срабатывания датчика для прозрачного стекла 50 x 50 мм, t = 3,0 мм.
Функция предотвращения взаимных помехФункция предотвращения взаимных помех позволяет устанавливать несколько сенсорных блоков в непосредственной близости друг от друга. (За исключением датчиков, работающих в режиме сквозного луча и отражающих датчиков BGS).
Функция MSR (подавление зеркальных отражений) (только для датчиков с обратным отражением).
- Датчики с обратным отражением оснащаются встроенными поляризационными фильтрами, с помощью которых приемник получает свет, излучаемый только рефлектором. Эта функция обеспечивает стабильность обнаружения объектов с высоким коэффициентом отражения, например, металлических объектов, зеркал и т.д.
- Принцип действия функции подавления зеркальных отражений (MSR).
Функция подавления взаимных помех (кроме датчиков, срабатывающих при пересечении луча).
Цикл излучения датчиков может быть изменен, что позволяет устанавливать несколько датчиков на близком расстоянии друг от друга, но без создания взаимных помех с расположенными вблизи другими датчиками.
Превосходная помехоустойчивость и минимальное воздействие со стороны внешних источников освещения.
Повышенная помехоустойчивость, благодаря использованию цифровых фильтров c алгоритмом шумоподавления. Специальный алгоритм минимизирует влияние внешнего освещения.
Индикаторы состояния
Пользователи легко могут проверить состояние датчиков с помощью индикатора срабатывания (желтый СИД) и индикаторов стабильности сигнала (зеленый СИД).
Регулятор чувствительности
Пользователи могут настроить чувствительность датчиков, с помощью регулятора чувствительности, для достижения оптимального режима работы, в зависимости от условий окружающей среды.
Основные характеристики:
Размеры, мм:
· Ш10,6xВ32хГ20
Напряжение питания:
· 12-24 VDC±10%
Расстояние срабатывания:
Модели на пересечение луча (для непрозрачного материала min 12 mm):
· до 15 м (BJ15M-TDT, BJ15M-TDT-C, BJ15M-TDT-P, BJ15M-TDT-C-P) - для непрозрачного материала мин. Ø 12 мм
· до 10 м (BJ10M-TDT, BJ10M-TDT-C, BJ10M-TDT-P, BJ10M-TDT-C-P) - для непрозрачного материала мин. Ø12 мм
· до 7 м (BJ7M-TDT, BJ7M-TDT-P) - для непрозрачного материала мин. Ø8 мм
Модели ретрорефлекторного типа со встроенным поляризационным фильтром (отражение от зеркала):
· 0.1 м до 3 м (BJ3M-PDT, BJ3M-PDT-C, BJ3M-PDT-P, BJ3M-PDT-C-P) с отражателем MS-2A - для непрозрачного материала мин. Ø75 мм
· опционально от 0,1 м до 4 м при использовании зеркала MS-2S
· опционально от 0,1 м до 5 м при использовании зеркала MS-3S
Модели диффузного типа (отражение от объекта, гистерезис макс 20% от установленного значения):
· до 1 м (BJ1M-DDT, BJ1M-DDT-C, BJ1M-DDT-P, BJ1M-DDT-C-P) - для непрозрачной белой бумаги 300*300мм
· до 300 мм (BJ300-DDT, BJ300-DDT-C, BJ300M-DDT-P, BJ300-DDT-C-P) - для непрозрачной белой бумаги 100*100мм
· до 100 мм (BJ100-DDT, BJ100-DDT-C, BJ100M-DDT-P, BJ100-DDT-C-P) - для непрозрачной белой бумаги 100*100мм
Модели диффузного типа (отражение от прозрачного объекта, гистерезис макс 20% от установленного значения):
· до 30 мм (BJG30-DDT) - для непрозрачной белой бумаги 100*100мм
· до 15 мм (BJG30-DDT) - для прозрачного стекла 50*50м толщиной 3 мм
Модели ретрорефлекторного типа BGS (отражение от зеркала, определение полупрозрачного и непрозрачного объекта, гистерезис макс. 10% от установленного значения):
· от 10 до 30 мм (BJ30-BDT, BJ30-BDT-P) – для непрозрачной белой бумаги 50*50мм, пятно Ø5 мм
· от 10 до 50 мм (BJ50-BDT, BJ50-BDT-P) – для непрозрачной белой бумаги 50*50мм, пятно Ø4,5 мм
· от 10 до 100 мм (BJ100-BDT, BJ100-BDT-P) – для непрозрачной белой бумаги 100*100мм, пятно Ø6,5 мм
Модели диффузного типа с маленьким пятном (определение полупрозрачного и непрозрачного объекта,):
· от 30 до 70 мм (BJN50-NDT, BJN50-NDT-P) – медный провод мин Ø0.2мм, пятно Ø2 мм, гистерезис макс 25% от установленного значения
· от 70 до 130 мм (BJN100-NDT, BJN100-NDT-P) – медный провод мин Ø0.2мм, пятно Ø2,5 мм, гистерезис макс 20% от установленного значения
Регулировка чувствительности:
· есть (кроме модели BJG30-DDT)
Время отклика:
· 1 мс
· 1,5 мс (для датчиков ретрорефлекторного типа BGS)
Источник света:
· инфракрасный (850 нм): для моделей BJ15M, BJ1M, BJ100, BJC30
· красный (660 нм): для моделей BJ10M, BJ300, BJ30, BJ50 BJ100 (BGS)
· красный (650 нм): для моделей BJ7M, BJN50, BJN100
Функция выхода:
· NO или NC (устанавливается VR)
· только NO (для модели BJG30-DDT)
Тип выхода (определяется при заказе):
· транзистор с открытым коллектором PNP- или NPN-типа
Индикация:
· красный (работа)
· зеленый (стабильное состояние)
Степень защиты:
· IP65
· IP67 (для моделей с коннектором)
Схема защиты:
· защита от переполюсовки
· защита от короткого замыкания
· защита от взаимного влияния (за исключением датчиков на пересечение луча)
Комплектация: кронштейн, отвертка, зеркало MS-2A (для BJ3M)
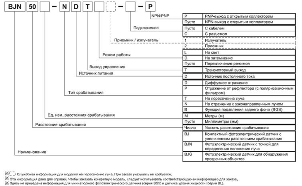
Информация для заказа:

9:00-17:40 (пн-пт – без обеда, сб-вс – выходной)